Inverse Laplace Transform Calculator

In mathematics the Laplace transform named after its discoveror Pierre-Simon Laplace l ə ˈ p l ɑː s is an integral transform that converts a function of a real variable usually in the time domain to a function of a complex variable in the complex frequency domain also known as s-domain or s-planeThe transform has many applications in science and engineering because. The calculator will try to find the Laplace transform of the given function.


Inverse Laplace Transforms Studypug

Pierre-Simon marquis de Laplace l ə ˈ p l ɑː s.

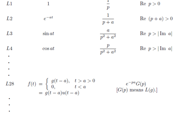
. The inverse transform of the function Fs is given by. Recall that mathcalL-1Fs is such a function ft that mathcalLftFs. Formal definition Bilateral Laplace transform Inverse Laplace transform.

The calculator will try to find the Inverse Laplace transform of the given function. Recall that the Laplace transform of a function is FsLftint_0infty e-stftdt. Ft L-1 Fs For example for the two Laplace transform say Fs and Gs the inverse Laplace transform is defined by.

Usually to find the Laplace transform of a function one uses partial fraction decomposition if needed and then consults the table of Laplace transforms. The laplace calculator calculates the results quickly in the form of steps plots graphs etc. Derivatives Derivative Applications Limits Integrals Integral Applications Integral Approximation Series ODE Multivariable Calculus Laplace Transform TaylorMaclaurin Series Fourier Series Functions Line Equations Functions Arithmetic Comp.

The inverse Laplace transform is exactly as named the inverse of a normal Laplace transform. The inverse Laplace calculator has several properties that make it useful for analyzing linear dynamical systems. In the inverse Laplace transform we are provided with the transform Fs and asked to find what function we have initially.

It requires input from user and by its transformation method you can turn actual functions into complex functions. So start learning to understand how to the inverse Laplace transform of the functions step. The inverse laplace transform calculator works online.

There is such thing as a bilateral Laplace transform which combines the normal Laplace transform with the inverse Laplace transform. From the source of Wikipedia. An inverse Laplace transform can only be performed on a function Fs such that Lft Fs exists.

The calculator above performs a normal Laplace transform. Usually to find the Inverse Laplace transform of a function we use the property of linearity of the Laplace transform. An online inverse Laplace transform calculator will convert the complex function Fs into a simple function ft in the real-time domain.

The inverse Laplace transform is when we go from a function Fs to a function ft. Undoubtedly you can do all these calculations manually but its a lengthy and time taking process. It is the opposite of the normal Laplace transform.

Inverse Laplace Transform Calculator. Fourier series of odd and even functions. So with the help of this Laplace calculator with steps students and professionals make the calculation instantly.

The fourier coefficients a 0 a n or b n may get to be zero after integration in certain Fourier series problems. To calculate Laplace transform method to convert function of a real variable to a complex one before fourier transform use our inverse laplace transform calculator with steps. Because of this calculating the inverse Laplace transform can be used to check ones work after calculating a normal Laplace transform.

Taylor Series Calculator. 23 March 1749 5 March 1827 was a French scholar and polymath whose work was important to the development of engineering mathematics statistics physics astronomy and philosophyHe summarized and extended the work of his predecessors in his five-volume Mécanique céleste Celestial. Free matrix inverse calculator - calculate matrix inverse step-by-step.


Inverse Laplace Transform Formula And Simple Examples Wira Electrical


Inverse Laplace Transform Of A Constant By Tutorcircle Otosection


Inverse Laplace Transform Formula And Simple Examples Wira Electrical


How To Take The Inverse Laplace Transform Of This Problem Without Using Partial Fractions Decomposition 2s S 2 4s 3 Quora

Comments

Popular posts from this blog

Cara Nak Chat Dengan Orang Yang Blok Whatsapp